Expected Value Per Roll . Find the expected value per ticket purchased. Expected value refers to the average outcome you would expect from repeating an. In other words, for each ticket you purchase, how much do you expected to lose/donate? In probability theory, an expected value is the theoretical mean value of a numerical experiment over many repetitions of the experiment. Calculating the expected value (ev) of a variety. Expected value is a measure of central tendency; Expected value is perhaps the most useful. Find the expected values of the following experiments. In other words, on average you lose 5.3 cents per space you bet on.
from ppt-online.org
Expected value is perhaps the most useful. Expected value is a measure of central tendency; Calculating the expected value (ev) of a variety. Expected value refers to the average outcome you would expect from repeating an. In other words, for each ticket you purchase, how much do you expected to lose/donate? Find the expected value per ticket purchased. In probability theory, an expected value is the theoretical mean value of a numerical experiment over many repetitions of the experiment. Find the expected values of the following experiments. In other words, on average you lose 5.3 cents per space you bet on.
Probability Concepts презентация онлайн
Expected Value Per Roll Find the expected value per ticket purchased. Expected value refers to the average outcome you would expect from repeating an. In other words, for each ticket you purchase, how much do you expected to lose/donate? In probability theory, an expected value is the theoretical mean value of a numerical experiment over many repetitions of the experiment. Calculating the expected value (ev) of a variety. Find the expected values of the following experiments. Expected value is a measure of central tendency; Find the expected value per ticket purchased. Expected value is perhaps the most useful. In other words, on average you lose 5.3 cents per space you bet on.
From www.coursehero.com
[Solved] Please include a complete solution. 2. Find the expected value Expected Value Per Roll In probability theory, an expected value is the theoretical mean value of a numerical experiment over many repetitions of the experiment. Find the expected values of the following experiments. Expected value refers to the average outcome you would expect from repeating an. Expected value is a measure of central tendency; In other words, on average you lose 5.3 cents per. Expected Value Per Roll.
From www.888poker.com
Expected Value Poker Definition 888poker Expected Value Per Roll Find the expected value per ticket purchased. In other words, on average you lose 5.3 cents per space you bet on. In probability theory, an expected value is the theoretical mean value of a numerical experiment over many repetitions of the experiment. Find the expected values of the following experiments. Calculating the expected value (ev) of a variety. Expected value. Expected Value Per Roll.
From www.youtube.com
Expected Value YouTube Expected Value Per Roll In probability theory, an expected value is the theoretical mean value of a numerical experiment over many repetitions of the experiment. In other words, on average you lose 5.3 cents per space you bet on. In other words, for each ticket you purchase, how much do you expected to lose/donate? Find the expected value per ticket purchased. Calculating the expected. Expected Value Per Roll.
From ppt-online.org
Probability Concepts презентация онлайн Expected Value Per Roll Expected value is a measure of central tendency; Calculating the expected value (ev) of a variety. In probability theory, an expected value is the theoretical mean value of a numerical experiment over many repetitions of the experiment. In other words, on average you lose 5.3 cents per space you bet on. Expected value refers to the average outcome you would. Expected Value Per Roll.
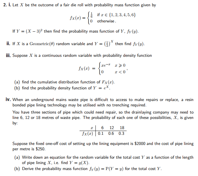
From www.chegg.com
Solved 2. i. Let X be the of a fair die roll with Expected Value Per Roll Find the expected value per ticket purchased. Calculating the expected value (ev) of a variety. In other words, for each ticket you purchase, how much do you expected to lose/donate? In other words, on average you lose 5.3 cents per space you bet on. Expected value is perhaps the most useful. Find the expected values of the following experiments. Expected. Expected Value Per Roll.
From www.youtube.com
Statistics Expected Value, part 1 of 2 YouTube Expected Value Per Roll Calculating the expected value (ev) of a variety. Find the expected value per ticket purchased. In other words, for each ticket you purchase, how much do you expected to lose/donate? Find the expected values of the following experiments. Expected value is a measure of central tendency; In probability theory, an expected value is the theoretical mean value of a numerical. Expected Value Per Roll.
From www.slideserve.com
PPT Expected Value PowerPoint Presentation, free download ID2268076 Expected Value Per Roll Expected value is a measure of central tendency; Calculating the expected value (ev) of a variety. In other words, for each ticket you purchase, how much do you expected to lose/donate? Find the expected value per ticket purchased. Expected value is perhaps the most useful. Expected value refers to the average outcome you would expect from repeating an. In other. Expected Value Per Roll.
From www.reddit.com
A fair die is rolled repeatedly. Let X be the number of rolls needed to Expected Value Per Roll Expected value refers to the average outcome you would expect from repeating an. Expected value is a measure of central tendency; In other words, on average you lose 5.3 cents per space you bet on. Find the expected value per ticket purchased. Calculating the expected value (ev) of a variety. In probability theory, an expected value is the theoretical mean. Expected Value Per Roll.
From www.youtube.com
Mean and Expected Value of Discrete Random Variables YouTube Expected Value Per Roll In other words, on average you lose 5.3 cents per space you bet on. Expected value is a measure of central tendency; Calculating the expected value (ev) of a variety. Find the expected value per ticket purchased. In probability theory, an expected value is the theoretical mean value of a numerical experiment over many repetitions of the experiment. Expected value. Expected Value Per Roll.
From www.nagwa.com
Question Video Calculating the Expectation and Variance of a Discrete Expected Value Per Roll Expected value is a measure of central tendency; Find the expected values of the following experiments. Find the expected value per ticket purchased. In other words, for each ticket you purchase, how much do you expected to lose/donate? In other words, on average you lose 5.3 cents per space you bet on. Calculating the expected value (ev) of a variety.. Expected Value Per Roll.
From imathworks.com
[Math] How to calculate variance for sum of dice Math Solves Everything Expected Value Per Roll Expected value refers to the average outcome you would expect from repeating an. Calculating the expected value (ev) of a variety. Find the expected values of the following experiments. Expected value is a measure of central tendency; In other words, on average you lose 5.3 cents per space you bet on. In probability theory, an expected value is the theoretical. Expected Value Per Roll.
From www.slideserve.com
PPT Probability & Expected Value PowerPoint Presentation, free Expected Value Per Roll Expected value is a measure of central tendency; In other words, for each ticket you purchase, how much do you expected to lose/donate? Find the expected values of the following experiments. In probability theory, an expected value is the theoretical mean value of a numerical experiment over many repetitions of the experiment. Find the expected value per ticket purchased. Expected. Expected Value Per Roll.
From www.youtube.com
Finding the Expected Value of a Probability Distribution YouTube Expected Value Per Roll Find the expected values of the following experiments. In probability theory, an expected value is the theoretical mean value of a numerical experiment over many repetitions of the experiment. In other words, for each ticket you purchase, how much do you expected to lose/donate? Find the expected value per ticket purchased. Calculating the expected value (ev) of a variety. Expected. Expected Value Per Roll.
From www.physicsforums.com
Probability of Rolling Sum > 3 with Two Dice Expected Value Per Roll Expected value refers to the average outcome you would expect from repeating an. In other words, for each ticket you purchase, how much do you expected to lose/donate? Find the expected value per ticket purchased. Expected value is a measure of central tendency; Calculating the expected value (ev) of a variety. In other words, on average you lose 5.3 cents. Expected Value Per Roll.
From www.superfastcpa.com
What is Expected Value? Expected Value Per Roll Find the expected values of the following experiments. In other words, for each ticket you purchase, how much do you expected to lose/donate? In other words, on average you lose 5.3 cents per space you bet on. Expected value is a measure of central tendency; Find the expected value per ticket purchased. Expected value refers to the average outcome you. Expected Value Per Roll.
From www.slideserve.com
PPT Expected Value PowerPoint Presentation, free download ID2268076 Expected Value Per Roll In probability theory, an expected value is the theoretical mean value of a numerical experiment over many repetitions of the experiment. Calculating the expected value (ev) of a variety. Expected value refers to the average outcome you would expect from repeating an. In other words, on average you lose 5.3 cents per space you bet on. Expected value is perhaps. Expected Value Per Roll.
From www.coursehero.com
[Solved] Find the expected value, variance, and standard deviation of Expected Value Per Roll Expected value is a measure of central tendency; Calculating the expected value (ev) of a variety. In probability theory, an expected value is the theoretical mean value of a numerical experiment over many repetitions of the experiment. In other words, on average you lose 5.3 cents per space you bet on. Find the expected value per ticket purchased. Find the. Expected Value Per Roll.
From www.youtube.com
Expected Value and a CrapsLike Dice Game YouTube Expected Value Per Roll Calculating the expected value (ev) of a variety. Find the expected value per ticket purchased. Expected value refers to the average outcome you would expect from repeating an. Find the expected values of the following experiments. Expected value is perhaps the most useful. Expected value is a measure of central tendency; In other words, on average you lose 5.3 cents. Expected Value Per Roll.